高级检索

    基于银纳米线/聚苯胺纳米复合材料的电致变色薄膜及器件的制备与性能

    Preparation and Properties of Electrochromic Films and Device Based on Silver Nanowires/Polyaniline Nanocomposites

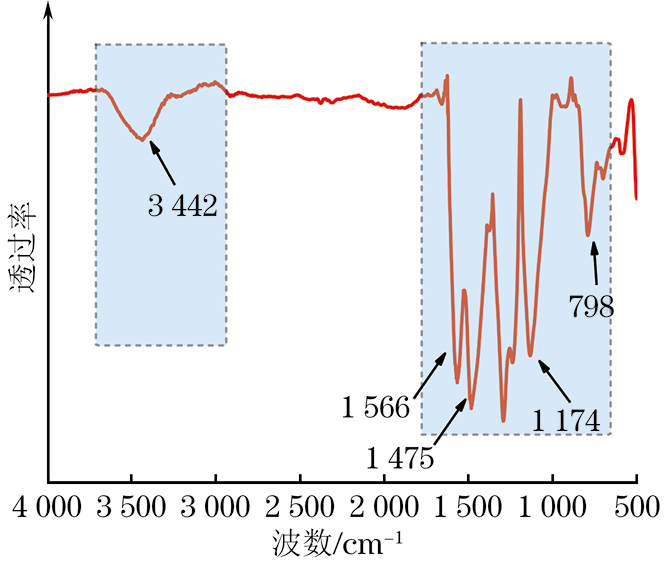
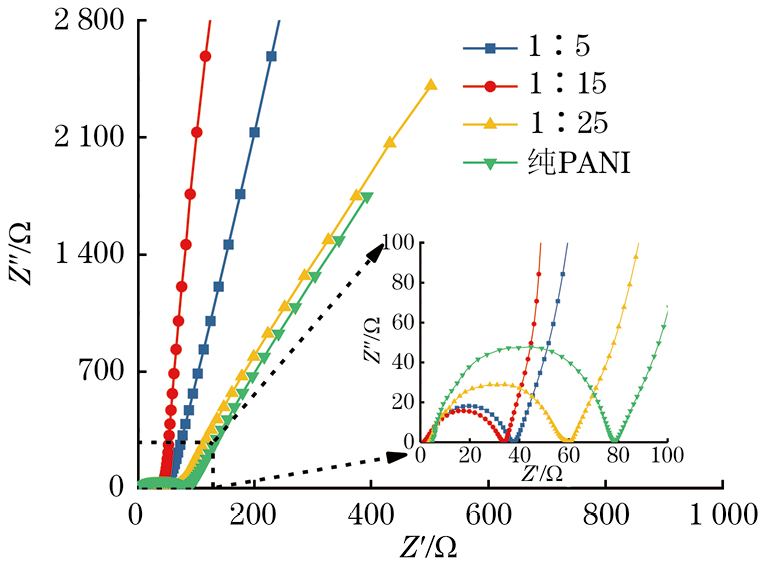
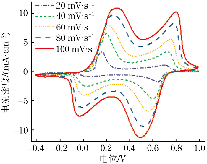
    • 摘要: 以质量比分别为1∶5,1∶15,1∶25的银纳米线(AgNWs)和苯胺为原料,采用化学氧化聚合法制备了银纳米线/聚苯胺(AgNWs/PANI)纳米复合材料,喷涂在氧化铟锡(ITO)导电玻璃上得到AgNWs/PANI电致变色薄膜,将喷涂AgNWs/PANI(质量比为1∶15)和聚(3,4-乙烯二氧噻吩)(PEDOT)电致变色薄膜的ITO基电极组装得到分层式电致变色器件,研究了AgNWs/PANI电致变色薄膜和电致变色器件的微观形貌和电致变色性能。结果表明:AgNWs/PANI电致变色薄膜中PANI均匀包覆在AgNWs上形成线性核壳结构,当AgNWs和苯胺质量比为1∶5时薄膜中有很多AgNWs暴露在外,当质量比为1∶25时AgNWs暴露缺陷较少但形成的导电通路连续性差,当质量比为1∶15时AgNWs被PANI完美包覆且导电通路连续均匀;与纯PANI电致变色薄膜相比,AgNWs/PANI电致变色薄膜的峰值电流密度、离子扩散速率和光学对比度增大,电荷传递阻抗减小,变色效果明显,电致变色性能提升,AgNWs和苯胺质量比为1∶15时电致变色性能最佳;电致变色器件的最大光学对比度为65.2%,着色和褪色过程响应时间分别仅为6.5,4.9 s,经历1 000次恒电位跃迁后光学对比度保留率高达97.7%,着色效率高达124.6 cm2·C−1

       

      Abstract: The silver nanowires/polyaniline (AgNWs/PANI) nanocomposites were prepared by chemical oxidation polymerization with different AgNWs to aniline mass ratios (1∶5, 1∶15, 1∶25), and then were sprayed on indium tin oxide (ITO) conductive glass to obtain AgNWs/PANI electrochromic films. The layered electrochromic device was assembled by ITO electrodes coated with AgNWs/PANI (AgNWs to aniline mass ratio of 1∶15) and poly (3,4-vinyl dioxythiophene) (PEDOT) electrochromic films. The microstructure and electrochromic properties of the electrochromic films and electrochromic device were studied. The results show that in AgNWs/PANI electrochromic films, a linear core-shell was formed by PANI uniformly coating AgNWs, which increased the specific surface area. When the AgNWs to aniline mass ratio was 1∶5, many AgNWs were exposed. When the mass ratio was 1∶25, the film had fewer exposed AgNWs but the formed conductive path had poor continuity. When the mass ratio was 1∶15, AgNWs was perfectly covered by PANI and the conductive path was continuous and uniform. Compared with those of pure PANI electrochromic film, the peak current density, ion diffusion rate and optical contrast of AgNWs/PANI electrochromic films increased, the charge transfer impedance decreased, and the color chage effect was obvious; the electrochromic performance was improved. The electrochromic performance was the best when the AgNWs to aniline mass ratio was 1∶15. The maximum optical contrast of the electrochromic device was 65.2%, the response time of coloring and fading was only 6.5, 4.9 s, respectively. After 1 000 potentiostatic transitions, the optical contrast retention rate of the device was as high as 97.7%, and the coloring efficiency was as high as 124.6 cm2 · C−1.

       

    /

    返回文章
    返回