高级检索

    水中溶解氧对低锡中铌锆合金氧化膜显微组织和电化学性能的影响

    Influence of Dissolved Oxygen in Water on Microstructure and Electrochemical Properties of Oxide Films on Low-Tin Medium-Niobium Zirconium Alloy

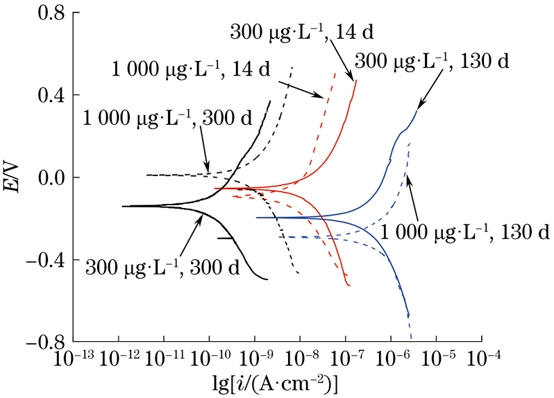
    • 摘要: 在含溶解氧(质量浓度分别为300,1 000 μg·L−1)环境中对Zr-0.4Sn-0.7Nb-0.3Fe-0.1Cr-0.15Mo-0.12O新型低锡中铌锆合金进行了长达300 d的堆外高压釜腐蚀试验,研究了腐蚀过程中合金表面氧化膜微观结构的变化,并结合离位电化学检测表征了腐蚀后合金的电化学性能,分析了溶解氧对电化学性能的影响。结果表明:在含溶解氧环境中腐蚀时,合金表面氧化膜的厚度随时间呈线性增加,氧化膜内裂纹增多,氧化膜/基体界面起伏加剧;当溶解氧含量较高时,合金的腐蚀质量增加较大,表面氧化膜内裂纹较多。在含溶解氧环境中腐蚀130 d时,合金的自腐蚀电位和极化电阻最小,自腐蚀电流密度最大,其耐腐蚀性不仅与表面氧化膜厚度有关,还受氧化膜内缺陷影响;腐蚀300 d时,合金的阻抗谱呈多容抗弧特征,较高溶解氧含量下的容抗弧数量较多。

       

      Abstract: The corrosion experiment of a new Zr-0.4Sn-0.7Nb-0.3Fe-0.1Cr-0.15Mo-0.12O low-tin medium-niobium zirconium alloy in the environment containing dissolved oxygen with mass concentration of 300, 1 000 μg · L−1 for 300 d was carried out in an external autoclave. The microstructure change of oxide film on alloy surface during corrosion was studied. The electrochemical properties of the alloy after corrosion were characterized by off-site electrochemical detection. The effect of dissolved oxygen on the electrochemical properties was analyzed. The results show that during corrosion, in the environment containing dissolved oxygen, the thickness of oxide film on alloy surface increased linearly with time. The number of cracks in the oxide film increased, and the fluctuation of the oxide film/matrix interface intensified. When dissolved oxygen content was relatively large, the mass increment of the alloy after corrosion was relatively large, and there were more cracks in the oxide film. After corrosion for 130 d in the environment containing dissolved oxygen, the self-corrosion potential and polarization resistance were the smallest, and the self-corrosion current density was the largest. The corrosion resistance of the alloy was not only related to the thickness of the oxide film on surface, but also affected by the defects in the oxide film. After corrosion for 300 d in the environment containing dissolved oxygen, the impedance spectrum showed the characteristics of multiple arc resistance. When the dissolved oxygen content was higher, the number of arc resistance was more.

       

    /

    返回文章
    返回