高级检索

    烧结温度和铌、锰掺杂量对钛酸铅钡基高居里点PTC陶瓷阻温特性的影响

    Effect of Sintering Temperature and Nb, Mn Doping Amount on Temperature Resistance Characteristics of Lead Barium Titanate Based High Curie Point PTC Ceramics

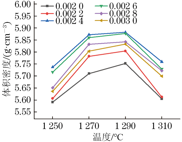
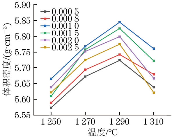
    • 摘要: 向钛酸钡陶瓷中掺入铅、锶、钙、铌、锰后,采用固相反应法制备了铌、锰共掺钛酸铅钡基高居里点正温度系数(PTC)陶瓷,研究了不同烧结温度(1 250~1 310 ℃)下铌、锰的复合掺杂(物质的量分数分别为0.002 0~0.003 0,0.000 8~0.002 5)对陶瓷微观结构、体积密度和阻温特性的影响。结果表明:随着烧结温度的升高,掺杂不同物质的量分数锰或铌的陶瓷的体积密度均先升后降,当烧结温度在1 290 ℃,体积密度均最大,结构均为纯钙钛矿结构。当烧结温度为1 290 ℃时,随着锰掺杂量的增加,陶瓷的体积密度先升后降,晶粒尺寸增加,室温电阻率增大,升阻比和温度系数基本呈先增后减的趋势,居里温度稳定为271~280 ℃;随着铌掺杂量的增加,陶瓷的体积密度先增后减,晶粒尺寸减小,升阻比和温度系数先增大后减小,室温电阻率先减小后增大,居里温度稳定在270~281 ℃。当烧结温度为1 290 ℃,掺杂锰和铌的物质的量分数分别为0.001 0,0.002 4时,陶瓷的阻温特性最佳,升阻比和温度系数最大,分别为7.011×103和20.19%,室温电阻率为2.13×103 Ω·cm,居里温度为281 ℃,此时晶粒尺寸均匀,体积密度最大。

       

      Abstract: The Nb-Mn Co-doped lead barium titanate based high Curie point positive temperature coefficient (PTC) ceramics were prepared by solid state reaction after adding lead, strontium, calcium, niobium and manganese into barium titanate ceramics. The effects of the composite doping of Nb and Mn (molar fraction of 0.002 0–0.003 0, 0.000 8–0.002 5, respectively) on the microstructure, bulk density and temperature resistance characteristics of the ceramics under different sintering temperatures (125 0–131 0 ℃) were studied. The results show that the bulk densities of ceramics doped with different molar fractions of Mn or Nb first increased and then decreased with the increase of sintering temperature. When the sintering temperature was 1 290 ℃, the bulk densities were the largest, and their structures were all pure chalcocite structures. When the sintering temperature was 1 290 ℃, with the increase of Mn doping amount, the bulk density of the ceramics first increased and then decreased, the grain size increased, the room temperature resistivity increased, the lift-off resistance ratio and the temperature coefficient basically first increased and then decreased, and the Curie temperature was stabilized at 271–280 ℃. With the increase of Nb doping amount, the bulk density of the ceramics first increased and then decreased, the grain size decreased, the lift-off resistance ratio and temperature coefficient first increased and then decreased, the room temperature resistivity first decreased and then increased, and the Curie temperature was stabilized at 270–281 ℃. When the sintering temperature was 1 290 ℃, the molar fractions of doped Mn and Nb were 0.001 0, 0.002 4, respectively, the temperature resistance characteristics of the ceramics were the best; the lift-off resistance ratio and temperature coefficient were the largest, which were 7.011×103 and 20.19%, respectively, the room-temperature resistivity was 2.13×103 Ω·cm, and the Curie temperature was 281 ℃. The excellent temperature resistance was ascribed to the uniform the grain size and the largest bulk density.

       

    /

    返回文章
    返回