高级检索

    钠离子电池负极用立方体ZnSe/SnSe@C复合材料的制备及电化学性能

    Preparation and Electrochemical Properties of Cubic ZnSe/SnSe@C Composites for Sodium Ion Battery Cathode

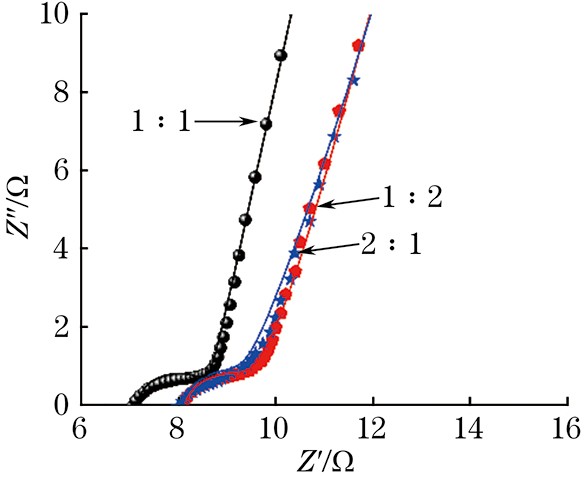
    • 摘要: 以氯化锌、四氯化锡和氢氧化钠为原料,聚乙二醇-4000为添加剂,通过室温水热反应制备纳米立方体ZnSn(OH)6前驱体,采用盐酸多巴胺包碳处理和高温硒化工艺制备立方体ZnSe/SnSe@C复合材料,研究了不同氯化锌和四氯化锡物质的量比(1∶1,1∶2,2∶1)条件下制备复合材料的微观结构和物相组成,以及作为钠离子电池负极材料的电化学性能。结果表明:当氯化锌与四氯化锡的物质的量比为1∶2和2∶1时,复合材料中存在聚集的纳米颗粒,未发现碳均匀包覆的立方体颗粒,当氯化锌和四氯化锡的物质的量比为1∶1时,立方体形态规则,均匀分散,表面被一层碳均匀包覆;复合材料的物相均为ZnSe和SnSe的复合相,且具有较好的结晶性。当氯化锌和四氯化锡的物质的量比为1∶1时,在100 mA·g−1电流密度下循环40圈后,复合材料的质量比容量仍可维持在410 mA·h·g−1,库伦效率约为94.6%,明显高于采用物质的量比为1∶2和2∶1的氯化锌和四氯化锡制备的复合材料,且在1 A·g−1的大电流密度下循环200圈后,其质量比容量依然能够达到330 mA·h·g−1,库伦效率接近100%,该复合材料具有优异的循环稳定性。与氯化锌和四氯化锡物质的量比为1∶2和2∶1相比,物质的量比为1∶1的氯化锌和四氯化锡制备的复合材料具有较低的电荷转移阻抗和较快的离子扩散速率,表现出优异的电化学性能。

       

      Abstract: Nano-cube ZnSn(OH)6 precursor was prepared by hydrothermal reaction at room temperature with zinc chloride, tin tetrachloride and sodium hydroxide as raw materials and polyethylene glycol-4000 as additive. Cubic ZnSe/SnSe@C composites were prepared by carbon coating the precursor with dopamine hydrochloride and high temperature selenization. The microstructure and phase composition of the composites prepared under different molar ratios of zinc chloride to tin tetrachloride (1∶1, 1∶2, 2∶1), as well as their electrochemical properties as anode materials for sodium ion batteries were studied. The results show that when the molar ratio of zinc chloride to tin tetrachloride was 1∶2 and 2∶1, there were aggregated nanoparticles in the composites, and no carbon uniformly coated cube particles were found. When the molar ratio of zinc chloride to tin tetrachloride was 1∶1, the cube had a regular shape and evenly dispersed, whose surface was uniformly coated with a layer of carbon. The phase of all composites consisted of ZnSe and SnSe, and had a good crystallization. After cycling for 40 cycles at the current density of 100 mA · g−1, the mass specific capacity of the composite under zinc chloride to tin tetrachloride molar ratio of 1∶1 still maintained 410 mA · h · g−1, and the Coulomb efficiency was about 94.6%, which was significantly higher than those of the composites prepared under zinc chloride to tin tetrachloride molar ratio of 1∶2 or 2∶1. After cycling for 200 cycles at a high current density of 1 A · g−1, the mass specific capacity of the composite prepared under the zinc chloride to tin tetrachloride of 1∶1 could still reach 330 mA · h · g−1, and the Coulomb efficiency was close to 100%,indicating excellent cyclic stability. Compared with those of zinc chloride to tin tetrachloride molar ratio of 1∶2 or 2∶1, the composite prepared under zinc chloride to tin tetrachloride molar ratio of 1∶1 had lower charge transfer impedance and faster ion diffusion rate, and showed excellent electrochemical performance.

       

    /

    返回文章
    返回