高级检索

    时效时间对Ni-W-Al-Ti高密度合金组织与性能的影响

    Effect of Aging Time on Microstructure and Properties of Ni-W-Al-Ti High Density Alloy

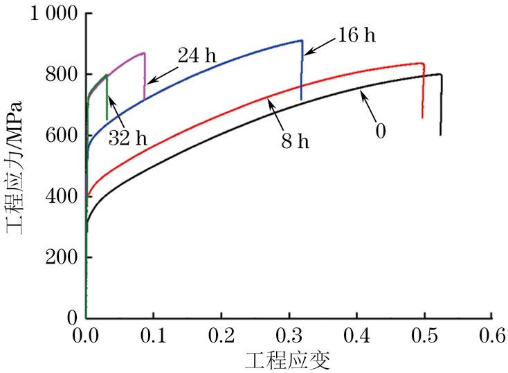
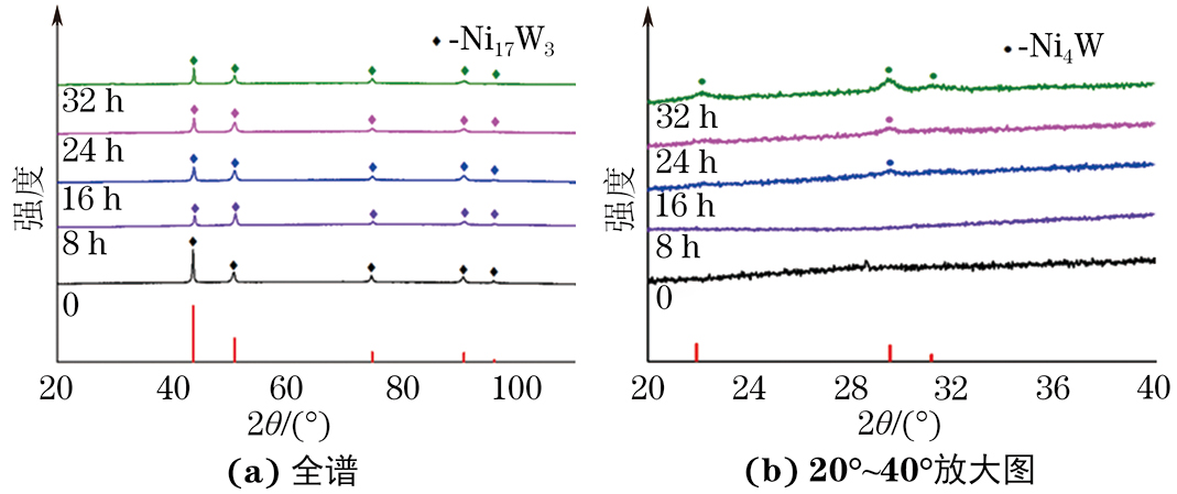
    • 摘要: 基于面心立方结构及细小弥散相强化原理,设计了一种新型Ni-W-Al-Ti高密度合金(密度为10.8 g·cm−3),将其在750 ℃下进行不同时间(0,8,16,24,32 h)的时效处理,研究了时效时间对合金显微组织和拉伸性能的影响。结果表明:时效处理后,Ni-W-Al-Ti高密度合金中析出了长程有序的D1a型Ni4W和L12型Ni3Al强化相,随着时效时间延长,Ni4W相尺寸增大,形状由球状变为椭球状,Ni3Al相数量增多;随着时效时间延长,合金的屈服强度先增加后趋于稳定,抗拉强度无明显变化,断后伸长率减小;当时效时间为24 h时,合金的屈服强度最大,为740 MPa,抗拉强度和断后伸长率适中,分别为886 MPa,9%,综合拉伸性能较佳。

       

      Abstract: A new Ni-W-Al-Ti high density alloy with density of 10.8 g · cm−3 was designed based on the face-centered cubic structure and the strengthening principle of fine dispersion phase. The test alloy was aged at 750 ℃ for different times (0, 8, 16, 24, 32 h). The effects of aging time on the microstructure and tensile properties of the alloy were studied. The results show that after aging, D1a type Ni4W and L12 type Ni3Al long range order strengthening phases were precipitated in Ni-W-Al-Ti high density alloy. With the extension of the aging time, the size of Ni4W phase increased and the shape changed from spherical to elliptic, and the quantity of Ni3Al phase increased. With the extension of aging time, the yield strength of the alloy increased first and then tended to be stable, the tensile strength had no obvious change, and the percentage elongation after fracture decreased. When the aging time was 24 h, the yield strength of the alloy was the highest of 740 MPa, the tensile strength; percentage elongation after fracture were moderate, which were 886 MPa and 9%, respectively; the comprehensive tensile property was relatively good.

       

    /

    返回文章
    返回