高级检索

    道间温度与焊后热处理冷却速率对P91钢焊缝金属冲击韧性与耐腐蚀性能的影响

    Effects of Interpass Temperature and Post-Weld Heat Treatment Cooling Rate on Impact Toughness and Corrosion Resistance of P91 Steel Weld Metal

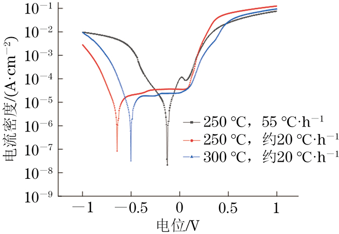
    • 摘要: 在不同道间温度(250,300 ℃)下对P91钢进行8层16道埋弧焊,并对焊缝金属进行760 ℃×2 h焊后热处理,冷却速率分别为55 ℃·h−1和约20 ℃·h−1(随炉冷却),研究了道间温度与焊后热处理冷却速率对焊缝金属冲击韧性和耐腐蚀性能的影响。结果表明:当道间温度为250 ℃时,随着焊后热处理冷却速率由约20 ℃·h−1提高到55 ℃·h−1,焊缝金属晶界处碳化物含量及其聚集程度降低,冲击吸收能量明显提高(幅度约68%),波动程度明显降低,自腐蚀电位提高,自腐蚀电流密度降低;当焊后热处理冷却速率约为20 ℃·h−1时,随着道间温度由250 ℃升高到300 ℃,碳化物含量及其聚集程度降低,冲击吸收能量略微提高,波动程度略微降低,自腐蚀电位提高,自腐蚀电流密度降低。在试验参数范围内,P91钢埋弧焊的道间温度和焊后热处理冷却速率应分别控制在250 ℃和55 ℃·h−1,此时焊缝金属的冲击吸收能量最大,其波动程度最小,自腐蚀电位最大,自腐蚀电流密度最小,冲击韧性和耐腐蚀性能最优。

       

      Abstract: P91 steel was subjected to 8-layer 16-pass submerged arc welding at different interpass temperatures (250, 300 ℃), and the weld metal was post-weld heated at 760 ℃ for 2 h at cooling rates of 55 ℃ · h−1 and about 20 ℃ · h−1 (furnace cooling). The effects of interpass temperature and post-weld heat treatment cooling rate on the impact toughness and corrosion resistance of weld metal were studied. The results show that when the interpass temperature was 250 ℃, with post-weld heat treatment cooling rate increasing from about 20 ℃ · h−1 to 55 ℃ · h−1, the carbide content and its aggregation degree at grain boundaries of the weld metal decreased, the impact absorbed energy obviously increased by about 68%, and its fluctuation degree obviously decreased; the free-corrosion potential increased, and the free-corrosion current density decreased. When the post-welding heat treatment cooling rate was about 20 ℃ · h−1, with the interpass temperature increasing from 250 ℃ to 300 ℃, the carbide content and its aggregation degree decreased, the impact absorbed energy slightly increased, and its fluctuation degree slightly decreased; the free-corrosion potential increased, and the free-corrosion current density decreased. Within the range of test parameters, the interpass temperature and the post-weld heat treatment cooling rate of submerged arc welding of P91 steel should be controlled at 250 ℃,55 ℃ · h−1, respectively; at this time the weld metal had the largest impact absorbed energy and free-corrosion potential and the smallest fluctuation of impact absorbed energy and free-corrosion current density, and the impact toughness and corrosion resistance were the best.

       

    /

    返回文章
    返回